上午 数量关系与资料分析
学习任务一:数量关系——方程与不定方程
目标分值 15×30% ×0.8=3.6分
学习时间 1小时
任务清单 5个考点 8个技巧 13道真题
思维导图
解题思路
方程法是考生最容易掌握的方法,要学会使用,习惯使用,简洁使用;
题干特征:等量关系明显→方程易得,数据充分→方程解得;
列方程技巧:中间变量法,比例未知数法;
解方程技巧:代入法、数字特性法、因子分析法、赋“0”法、整体分析法;
题型属性:盈亏问题、鸡兔同笼问题、和差倍比问题、行程问题等往往采用方程法。
考点1:中间变量法
技巧:中间变量→所求量不能直接找到等量关系,需要中间量做纽带。
经典例题
【例题1】(2014联考上)在一场篮球比赛中,甲、乙、丙、丁共得125分,如果甲再多得4分,乙再少得4分,丙的分数除以4,丁的分数乘以4,则四人得分相同。问甲在这场比赛中得了多少分?( )
A.24
B.20
C.16
D.12
【解析】“四人得分相同”,考虑方程法。设该相同分数为n,逆推可得甲得分为(n-4),乙得分为(n+4),丙得分为4n,丁得分为
,进而得到(n-4)+(n+4)+4n+
=125,解得n=20,故甲的得分为n-4=16(分)。答案选择C。
【例题2】(2014国家)某单位原有45名职工,从下级单位调入5名党员职工后,该单位的党员人数占总人数的比重上升了6个百分点。如果该单位又有2名职工入党,那么该单位现在的党员人数占总人数的比重为多少?( )
A.50%
B.40%
C.70%
D.60%
【解析】本题不能直接求解,第一句话中存在等量关系。设该单位原有党员x名,结合题干可以得到:
,解得x=18,最终的党员人数为18+5+2=25(人),最终的职工数为45+5=50(人),即现在党员占总人数的比重为25÷50=50%。答案选择A。
【例题3】(2014联考下)三个学生各购买一批课外书,小明和小强的购买课外书数量总和比小军的3倍多4本,小明和小军购买的课外书数量总和比小强的2倍少2本,若小明给小军3本课外书,则两人购买的课外书一样多,问小明买了多少本课外书?( )
A.9
B.10
C.11
D.12
【解析】由“小明给小军3本课外书,则两人购买的课外书一样多”可知,小明比小军多6本,设小军购买的课外书为x本,则小明为x+6本。将三个人购买的课外书列成表格,可以得到:
很容易解得x=6,进而得到x+6=12,答案选择D。
思维小结
方程法最重要的是找到题干中的等量关系,有些时候等量关系是明显的,如出现了“相等”“相同”“是”等字眼,更多时候等量关系是隐含的,需要考生通过理解题干找到等量关系,而这一点只能通过平时的练习建立起对数学信息的敏感性。
数量关系的解题应该先整体分析题干,找到题干中的等量关系信息,然后再去具体的解题。
中间变量法的核心是建立关联性,进而通过等式列得方程。
比例未知数的核心是整数原则,从而更加有利于解方程。
当题干中的量之间的关系比较复杂时,我们往往使用列表列方程的方法。
考点2:比例未知数
技巧:比例未知数→题干中有比例关系,按照比例设未知数会方便解方程。
经典例题
【例题4】(2014上海A)年初,甲、乙两种产品的价格比是3∶5,年末,由于成本上涨,两种产品的价格都上涨了9元,价格比变成了2∶3,则年初时乙的价格比甲高出( )元。
A.9
B.18
C.27
D.36
【解析】设年初时甲、乙两种商品的价格为3x、5x,进而得到(3x+9)∶(5x+9)=2∶3,解得x=9,则年初时价格高出2×9=18(元)。答案选择B。
【点睛】本题也可以直接使用代入法。
【例题5】(2014北京)甲工厂每天生产的零件数比乙工厂的1.5倍还多40个,乙工厂每天生产的零件数比甲工厂的一半多20个。则两个工厂每天共能生产多少个零件?( )
A.400
B.420
C.440
D.460
【解析】设乙工厂的总量为2x,则可以得到甲工厂为3x+40,将数量列表如下:
很容易解得x=80,进而得到两个工厂的总数为5×80+40=440(个)。答案选择C。
【例题6】(2013北京)某服装如果降价200元之后再打8折出售,则每件亏50元。如果直接按6折出售,则不赚不亏。如果销售该服装想要获得100%的利润,需要在原价的基础上加价多少元?( )
A.90
B.110
C.130
D.150
【解析】题干给出“直接6折销售,不赚不亏”,设服装成本为6x,则服装原价为10x,根据题意列方程可得:(10x-200)×80%+50=6x,解得x=55,所以成本6x=330,原价10x=550,想要获得100%的利润,则定价应该为660元,需要在原价的基础上加110元,答案选择B。
思维小结
比例未知数的核心是整数原则,从而更加有利于提高解方程的速度。
考点3:多元方程——整体分析法
技巧:多元方程是指有多个未知数和等量的方程等式,多元方程的解法往往是整体分析法。
经典例题
【例题7】(2014联考下)某火车站有一、二、三号三个售票窗口,某天一号以外的窗口卖出了746张票,二号以外的窗口卖出了726张票,三号以外的窗口卖出了700张票。问当天该站共售车票多少张?( )
A.1086
B.988
C.986
D.980
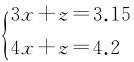
【解析】设一、二、三号窗口卖出的票分别为x、y、z,则根据题意列方程可以得到:
,将三组数据相加可以得到:2(x+y+z)=2100+72,解得x+y+z=1086。答案选择A。
【例题8】(2013甘肃)甲、乙、丙练习投篮,一共投了150次,共有64次没投进。已知甲和乙一共投进48次,乙和丙一共投进69次,那么乙投进多少次?( )
A.28
B.31
C.30
D.33
【解析】设甲、乙、丙分别投进x次、y次、z次,三人共投进150-64=86(次),则
,解得y=48+69-86=31。答案选择B。
思维小结
整体分析法,是指不具体去求每一个未知量,而是通过所列运算式之间的四则运算,“凑”出所需要的结果。
整体分析法尤其适用于多元方程以及不定方程组的快速求解。
考点4:不定方程——数字特性法
技巧1:不定方程的解题步骤是:奇偶特性→因子分析→尾数分析→赋值验证。
技巧2:不定方程中的变量往往有限制条件,如整数、质数等条件。
经典例题
【例题9】(2014浙江)某班有56名学生,每人都参加了a、b、c、d、e五个兴趣班中的其中一个。已知有27人参加a兴趣班,参加b兴趣班的人数第二多,参加c、d兴趣班的人数相同,e兴趣班的参加人数最少,只有6人,问参加b兴趣班的学生有多少个?( )
A.7个
B.8个
C.9个
D.10个
【解析】设参加b兴趣班的人数为x人,c、d兴趣班的人数为y人,则可以得到x+2y=23。结合奇偶特性得知x是奇数,排除B、D项,代入A选项,得知x=7,y=8,b兴趣班人数<c、d兴趣班人数,不满足题意。故答案选择C。
【例题10】(2014国家)小王、小李、小张和小周4人共为某希望小学捐赠了25个书包,按照数量多少的顺序分别是小王、小李、小张、小周。已知小王捐赠的书包数量是小李和小张捐赠书包的数量之和;小李捐赠的书包数量是小张和小周捐赠的书包数量之和。问小王捐赠了多少个书包?( )
A.9
B.10
C.11
D.12
【解析】题干中出现了由多到少的顺序,则设小周捐赠的书包为x,小张为x+a,则可得数据如下:
结合题干可以得到:7x+4a=25,分析奇偶数字特性,可知x为奇数,进而发现令x=3,a=1可满足条件,所以小王捐赠的书包总数为11个,答案选择C。
思维小结
因子分析法,是指在加减运算,以及乘法和乘方运算过程中,原运算式子中的因子不会因为运算而丢失掉,因子分析常见的形式有两种:
(1)A=a×b×c,则A中一定同时存在a、b、c因子,如A=1005×10061006,因为1005中含有3因子,则A一定也含有3因子,即是3的倍数;
(2)a x+by=c,等式左右两侧的因子必须是等量存在的,如3 x+5 y=45,45中含有5因子,5y中也含有5因子,则3x中也含有5因子,即x中含有5因子。
考点5:不定方程组
技巧1:整体分析法→通过“凑”的方式得到所需结果。
技巧2:赋“0”法→题干中量没有限定条件,通过赋“0”简化计算过程。
技巧3:数字特性法→题干中量存在一些限定条件,通过将方程组变为不定方程,然后运用数字特性法进行结果的计算。
经典例题
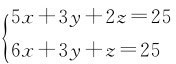
【例题11】(2014吉林甲)某学校组织一次教工接力比赛,共准备了25件奖品分发给获得一、二、三等奖的职工,为设计获得各级奖励的人数,制定两种方案:若一等奖每人发5件,二等奖每人发3件,三等奖每人发2件,刚好发完奖品;若一等奖每人发6件,二等奖每人发3件,三等奖每人发1件,也刚好发完奖品,则获得二等奖的教工有多少人?( )
A.6
B.5
C.4
D.3
【解析】设一、二、三等奖的职工数依次为x、y、z人,则根据题意可以得到
,进而可以得到x=z,7x+3y=25,代入选项,只有A选项符合题意,答案选择A。
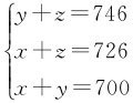
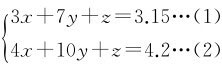
【例题12】(2008国家)买甲、乙、丙三种货物,如果甲3件、乙7件、丙1件,需花费3.15元;如果甲4件、乙10件、丙1件,需花费4.20元。甲、乙、丙各买一件,需花费多少钱?( )
A.1.05元
B.1.40元
C.1.85元
D.2.10元
【解析】解法一:设甲、乙、丙的单价分别为x、y、z,欲求x+y+z的值,结合题干则可以得到
,利用整体分析法,3×(1)-2×(2)=x+y+z=3×3.15-2×4.2=1.05,答案选择A。
解法二:赋“0”法,
,令y=0,则得到
,两式相减得到x=1.05,进而得到z=0,即x+y+z=1.05。答案选择A。
【例题13】(2012河南选调)某公司的6名员工一起去用餐,他们各自购买了三种不同食品中的一种,且每人只购买了一份。已知盖饭15元一份,水饺7元一份,面条9元一份,他们一共花费了60元。问他们中最多有几人买了水饺?( )
A.1
B.2
C.3
D.4
【解析】设买盖饭、水饺、面条的人分别有x、y、z人。15x+7y+9z=60,60中含有3因子,同理15x与9z中均含有3因子,所以y一定是3的倍数。结合选项,答案选择C。
思维小结
不定方程组常见的解法有三种:整体分析法、赋“0”法、数字特性法。
整体分析法是“凑”出答案。
赋“0”法是指题干中的未知量没有限定条件,且求一个整体的结果,其隐含条件是整体的结果不因部分的量变化而变化。
数字特性法适用于题干中的量有明显的或隐含的限定条件,如整数、质数等条件。
微信作业
微信公众号搜索“刘有珍”或“liuyouzhengk”加关注,回复表格中的关键词,针对此考点进行更多专项练习。
学习任务二:插值法+差分法
目标分值 15×30% ×0.8=3.6分
学习时间 1小时
任务清单 2种方法 6道真题
考点1:插值法
比较类:比较A和B的大小,若可以找到一个数x,满足A>x,而B<x,则可判定A>B。
计算类:在计算一个数值f的时候,选项给出两个比较接近的数A和B难以判断,我们可以找到A和B中间的一个数x。若A<x<B,则如果f>x则可以得到f=B;如果f<x,则可以得到f=A。
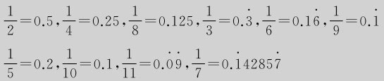
插值法是指在计算数值或比较数值大小时,运用中间值进行“参照比较”的速算方式。一般所插数值为“特殊分数”,如
、
、
、
、
等。
例:计算
的值,选项中有25.13%和24.87%,两选项中间有0.25,而3281.3×4=13125.2>13057.2,所以
,则要选择25.13%。
经典例题
【例题1】2006年,全国农村从业人员数量为47852万人,其中6986万人从事第三产业;东北地区农村从业人员数量为3230万人,其中391万人从事第三产业。请问,全国、东北地区农村从业人员中从事第三产业人员的比例分别是多少?( )
A.13.6%,12.7%
B.14.6%,12.7%
C.13.6%,12.1%
D.14.6%,12.1%
【解析】全国:13.6%与14.6%之间有特殊分数
,47852÷7=68300+,所以
≈14.3%,排除A、C选项;东北地区:12.1%与12.7%之间有特殊分数
,3230÷8=400+,
。答案选择D。
【例题2】(2012北京)……2009年世界天然气贸易量达8768.5亿立方米,较2005年增长7.7%。其中管道天然气贸易量为6337.7亿立方米;液化天然气贸易量为2427.7亿立方米……
2009年世界液化天然气贸易量占天然气贸易总量的比重为( )。
A.17.5%
B.22.2%
C.27.7%
D.38.3%
【解析】2009年世界液化天然气贸易量占天然气贸易总量的比重为
,结合选项可知该计算式结果的首位一定是2,排除A、D选项。对比B、C两项发现,存在明显中间值
,8768.5÷4≈2192,所以
。因此,答案选择C。
【例题3】(2009江西)
2006年河北主要农产品产量 单位:万吨
2006年河北的园林水果在鲜果中所占的比重是多少?( )
A.66.65%
B.68.91%
C.72.17%
D.74.29%
【解析】计算式为:
,该计算式结果的首位一定是6,排除C、D选项。对比A、B选项发现,存在中间值
,
,上述计算式与
几乎是一样大的。因此,答案选择A。
思维小结
常用特殊分数
在计算结果首位相同的情况下,使用插值法是一个比较快捷的选择。
考点2:差分法
特征:分数大小比较时,两个分数的大小非常接近。
概念:大分数、小分数、差分数。
把
称为大分数,
称为小分数,分子、分母作差得到的新分数
为差分数。
若差分数>小分数,则大分数>小分数;
若差分数<小分数,则大分数<小分数;
若差分数=小分数,则大分数=小分数。
经典例题
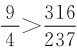
【例题4】比较
和的大小。
【解析】观察发现其中一个分数的分子分母略大于另一个分数的分子分母。差分数=
,
,即差分数>小分数,则说明大分数>小分数,也就是
。
【例题5】2010年上半年,全国原油产量为9848万吨,同比增长5.3%,上年同期为下降1%。进口原油11797万吨(海关统计),增长30.2%,则2009年上半年原油产量与原油进口量的关系是( )。
A.产量>进口量
B.产量<进口量
C.产量=进口量
D.无法判断
【解析】2009年上半年,全国原油进口量=
,全国原油产量=
,相当
于比较 与,差分数= <8,而
>8,即差分数<小分数,则
,原油进口量小于原油产量。故答案选择A。
【点睛】也可以做“大概齐”计算,
首位商9就基本一样了,而
首位商9后还有“空间”,所以后者大,即原油产量>进口量。
【例题6】(2012江西)
江西省各设区市城镇居民人均可支配收入和人均消费性支出情况(单位:元)
2010年与2009年相比,人均消费性支出增长大于可支配收入增长的是( )。
A.新余
B.赣州
C.上饶
D.南昌
【解析】增长率的大小比较,可以用
代替增长率进行比较,南昌:即比较
与的大小,差分数为
,即差分数<小分数,所以南昌的人均消费性支出增长大于可支配收入增长,答案选择D。
思维小结
差分法核心法则:
1.基本定义:分子、分母都较大的分数称为“大分数”,分子、分母都较小的分数称为“小分数”。
2.差分定义:“大分数”和“小分数”分子、分母分别做差得到新的分数为“差分数”。
3.基本法则:用“差分数”代替“大分数”与“小分数”作比较。
4.差分法用于比较大小非常接近的两个分数。
5.差分法是一种非常精确的方法,差分法可以连续不断地进行。