上午 数量关系与资料分析
学习任务一:数量关系——基础计算
目标分值 15×10% ×0.8=1.2分
学习时间 1小时
任务清单 3大考点 6大技巧 16道真题
思维导图
解题思路
整数类计算:尾数法→因子分析→提公因式→公式法(平方差、立方差等)→直接计算。
分数类计算:裂项公式→整体代换→公因式法(有理化)→直接计算。
定义新运算:严格遵守定义的基本规则进行计算。
等差数列:求和公式→中位数公式→递推公式→代入法。
平均数计算:方程法。
考点1:常规计算
技巧1:尾数法,选项中的数字尾数不同,运算法则为加法、减法、乘法、乘方(除法运算不能直接使用尾数法,需化除为乘之后再进行计算)。
技巧2:因子分析,选项中的数字尾数相同,计算数据中有明显的公因子(往往是3、9因子)。
技巧3:整体代换,运算式子之间有很明显的相似处,或者说前后的运算有关联,我们把共同部分用字母代替,进行整体代换,从而简化计算式子。
经典例题
【例题1】(2014深圳)1995+1996+1997+1998+1999+2000的值为( )。
A.12987
B.12985
C.11988
D.11985
【解析】解法一:(1995+2000)×6÷2=11985,答案选择D。
解法二:2000×6-1-2-3-4-5=11985,因此,答案选择D。
【例题2】(2014河北)
的个位数是几?( )
A.8
B.6
C.4
D.2
【解析】乘方的尾数一般是以4为周期,呈现周期性变化,原式可写为20132013 ×20142014,20132013→31,尾数是1,20142014→42,尾数是6,3×6=18,尾数为8。答案选择A。
【例题3】(2014江苏B)762013+252014的最后两位数字是( )。
A.01
B.91
C.21
D.51
【解析】76与25的n次方的末两位永远是76和25,所以762013末两位数为76,252014末两位数为25,相加末两位为01。答案选择A。
【例题4】(2013河北)1005×10061006-1006×10051005=?( )
A.0
B.100
C.1000
D.10000
【解析】解法一:重复数可以做因式分解拆分,10061006=1006×10001,则1005×10061006-1006×10051005=1005×1006×10001-1006×1005×10001=0。答案选择A。
解法二:1005以及10051005都是3的倍数,加减乘运算因子不丢失,所以答案一定是3的倍数,只有A选项符合要求。答案选择A。
思维小结
(1)乘方尾数直接应用口诀:底数只留个位,指数除以4留余数,余数为0换成4。此时所得新数的尾数即为原数的尾数。如72014的尾数计算方式为:2014÷4=503……2,72014→72→9,所以72014的尾数是9;
(2)重复数字可以做因式分解拆分
;
(3)因子分析法:数量关系中常考的因子分析为3或9因子分析。
【例题5】(2008北京应届)
的值是( )。
A.
B.
C.
D.
【解析】前后两个运算式子之间有很强的相似性,用整体代换法。令
,
,则原式变为(1+a)×b-(1+b)×a=b-a=
。答案选择D。
思维小结
分数类计算常见的考点有3个:整体代换法、裂项公式、放缩法。
(1)裂项公式
,如
;
(2)放缩法:
。
【例题6】(2013江苏A)设x⊕y=2 x+3 y,x☉y=xy,且x,y均为正整数,若当x☉y=6时,x⊕y取得最小值,则x等于( )。
A.2
B.6
C.4
D.3
【解析】定义新运算,严格遵循定义进行计算。由x☉y=6可知x,y可能是2,3或者1,6,再由x⊕y取得最小值,代入可知当x=3,y=2时x⊕y=2x+3y为最小。答案选择D。
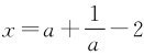
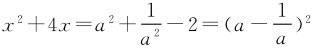
【例题7】(2012江苏A)已知:
,则
=( )。
A.
B.a
C.2a
D.
【解析】解法一:由题意可得:
,即
,(x+2)2=x2+4x+4=a2+
+2,所以
,进而可以得到原式=a+
+a-
=2a。答案选择C。
解法二:字母类运算,采用特殊值代入,令a=4,则可以得到
,原式>
+2=4.25。只有C满足要求。
思维小结
完全平方公式:(a±b)2=a 2±2ab+b 2。
平方差公式:a2-b2=(a+b)(a-b)。
【例题8】(2013四川秋)某报刊以每本2元价格发行,可发行10万份,若该报刊单价提高0.2元,发行量减少5000份,则该报刊可能的最大销售收入为多少万元?( )
A.24
B.23.5
C.23
D.22.5
【解析】解法一:设提价x次,则销售收入为(2+0.2x)×(100000-5000x)=5000×(-0.2x2+2x+40),开口向下的抛物线,当
时,取得最大值,代入计算得到最大销售收入为22.5万。答案选择D。
解法二:设提价x次,则销售收入为(2+0.2x)×(100000-5000x)=500×(20+2x)×(20-x),20+2x与2(20-x)的和为定值,则当20+2x=2(20-x)时,即x=5时,取得最大值,代入计算得到最大销售收入为22.5万。答案选择D。
【例题9】(2013广东)一厂家生产销售某新型节能产品,产品生产成本是168元,销售定价为238元。一位买家向该厂家预订了120件产品,并提出如果产品售价每降低2元,就多订购8件。则该厂家在这笔交易中能获得的最大利润是( )元。
A.17920
B.13920
C.10000
D.8400
【解析】解法一:售价降低2元,就多订购8件,即降低1元,多定4件。原单件利润为70元,设降价x元,则交易获得的利润为(120+4x)×(70-x)=8400-4x2+160x,当x=20时,取得最大值,则利润的最大值为10000。答案选择C。
解法二:交易获得的利润为(120+4x)×(70-x),(120+4x)与4(70-x)的和为定值,当120+4x=4(70-x),即当x=20时,取得最大值,则利润的最大值为10000。答案选C。
【例题10】(2014政法联考)某汽车租赁公司有200辆同型号的汽车,每辆汽车日租金为100元时可全部租出,当每辆车的日租金增加5元,未租出的汽车就会多4辆,租出的车每天每辆需要维护费20元,每辆车的日租金为多少时,租赁公司的日收益最大?( )
A.155元
B.165元
C.175元
D.185元
【解析】设租金增加了5x元,则租出的车减少了4x辆。收益=(100+5x-20)×(200-4x)=(80+5x)(200-4x)=20(16+x)(50-x)。当16+x=50-x时,取得最值,即x=17时最大,即日租金为100+5×17=185(元)。答案选择D。
思维小结
极值定理
(1)抛物线y=ax2+bx+c,极值点为(
,
),a<0,y有极大值;a>0,y有极小值。
(2)若a+b为定值,则当a=b时,ab的乘积取得最大值。
考点2:等差数列
特征:题干中出现“等差”“连续”“后一排比前一排多……人”等信息。
技巧:等差数列常有三种方法:公式法、代入法、中位数法。
经典例题
【例题11】(2013山东)某天办公桌上台历显示是一周前的日期,将台历的日期翻到当天,正好所翻页的日期加起来是168。那么当天是几号?( )
A.20
B.21
C.27
D.28
【解析】连续7天的日期构成等差数列,中位数=平均数=第四天=168÷7=24,即第四天为24号,题干问的是当天,也就是第8天,所以是28号。因此,答案选择D。
【例题12】(2014上海AB)某学校在400米跑道上举行万米长跑活动,为鼓励学生积极参与,制定了积分规则:每跑满半圈积1分,此外,跑满1圈加1分,跑满2圈加2分,跑满3圈加3分……以此类推。那么坚持跑满一万米的同学一共可以得到的积分是( )分。
A.325
B.349
C.350
D.375
【解析】一万米共计25圈,即共50个半圈,因此总积分=50+(1+2+3+4+…+25)=50+25×13=25×15=375(分)。答案选择D。
【例题13】(2014吉林乙)把正整数写成
则35在第几行第几列?( )
A.7行1列
B.7行4列
C.8行6列
D.8行7列
【解析】分析可知,第n行共有n个数。前7行的正整数个数为(1+7)×7÷2=28,所以35一定在第8行。第8行是从左至右排列,所以是第7列。答案选择D。
思维小结
通项公式:第N项=第1项+(N-1)×公差。
项数公式:项数=
+1。
求和公式:和=
(首项+末项)×项数=平均数×项数=中位数×项数(等差数列中:平均数=中位数)。
对称公式:若m+n=i+j,则am+an=ai+aj。
【例题14】(2014黑龙江)甲和乙两个汽车销售经理上个月都超额完成了自己的月度任务,已知公司奖金计算方法是超任务销售一辆汽车奖励100元,第2、3、4……辆车奖励300、500、700……元。如两人当月合计得到1万元的销售奖金,问他们两人本月合计超任务销售了多少辆车?( )
A.15
B.16
C.17
D.14
【解析】解法一:设甲、乙超额x辆和y辆,则甲超出部分的奖金为[100+100+(x-1)×200]×
=100x2,进而得到100x2+100y2=10000,即x2+y2=100,x=6,y=8满足要求,所以总数为14辆。答案选D。
解法二:代入D选项,设甲和乙本月各销售了7辆车,则奖金分别为100、300、…1300。则甲奖金=乙奖金=(100+1300)×7÷2=4900(元),两人的奖金总数为9800元,距离1万元差200元。如果甲销售了6辆车,乙销售8辆车即满足题意。答案选择D。
思维小结
等差数列求和的公式中有3个量:首项、末项、项数,这三个量中知道其中两个可以通过公式算出第三个,所以如果三个量中已知两个量就可以直接使用公式进行计算。
若三个量中只知道其中的一个量,这样的题目采用代入法解题速度会比较快。
考点3:平均数计算
技巧1:平均数=总数÷项数。
技巧2:平均数问题一般采用方程法进行计算。
经典例题
【例题15】(2014深圳)8名同学参加公益义卖活动,义卖结束时筹得的善款前3名的同学平均每人筹得150元,而排名后5名的同学平均每人筹得的善款比8人的平均数少15元,则这8名同学平均每人筹得善款( )元。
A.110
B.115
C.120
D.125
【解析】设8名同学筹得善款的平均值为x元,则8x=3×150+5×(x-15)→3x=3×150-5×15→x=150-5×5=125元。答案选择D。
【例题16】(2014山东)某班级的一次考试阅卷后,发现有一道选择题的答案有误,正确答案应为A,但误写为C,此题分值为3分。调整答案时发现,此题未选A、C两个选项的人数为班级总人数的
,修改分数后班级平均分提高了1分。问选择A答案的人数占班级总人数的多少?( )
A.
B.
C.
D.
【解析】假设总人数就是3个人,选B、D总人数就是1个人,选A和C的总人数为2个人。设选择A的有x人,则选择C的人数为(2-x)人,进而得到调整答案后总分比原来多了:3x-3(2-x)。全班平均分提高了1分,总分提高了3分,即3=3x-3(2-x),解得x=
。选择A答案的人占班级人数的比例为
。答案选择A。
微信作业
微信公众号搜索“刘有珍”或“liuyouzhengk”加关注,回复表格中的关键词,针对此考点进行更多专项练习。
学习任务二:资料分析——化同法+放缩法
目标分值 20×10% ×0.8=1.6分
学习时间 1小时
任务清单 2种方法 10道真题
考点1:化同法
题型:用于分数的大小比较。
特征:两个分数的分子或分母存在明显的倍数关系,考虑应用化同法。
化同法是指比较分母大小时,是将分子(或分母)化至完全相同或相近,再进行比较的速算方法。
基本操作步骤:
将一个数的分子和分母同时乘以或除以一个数,使两数的分子或者分母相同或相近,再进行比较。
经典例题
【例题1】比较
和。
【解析】
,所以后者大。
【例题2】……2009年度全国旅行社的旅游业务营业收入为1745.59亿元,同比增长8.87%;旅游业务毛利润为120.27亿元,旅游业务毛利率为6.89%……
2009年度全国旅行社旅游业务营业收入表
下列各项中,2009年毛利率最低的是( )。
A.国内旅游业务
B.入境旅游业务
C.出境旅游业务
D.总体旅游业务
【解析】毛利率=毛利润÷营业收入,首先排除D选项,因为总体旅游业务毛利率一定是大小居中的,不可能是最低。剩余三个选项的毛利率为
,
,
,无法直接看出大小关系,但是发现这些分数的分子有比较明显的倍数关系,用化同法比较:
,该结果肯定大于 A选项,排除B选项;
,排除A选项。因此选择C。
【点睛】分数的比较问题在处理的过程中首先简单观察排除一些选项,再去研究剩下的选项具备什么样的特征,根据特征找到解题的方法。另外在审题的过程中一定要看好题目要求选择“最大”还是“最小”。
【例题3】
2004年外资进入我国IT业的情况
2004年,在我国的各IT分行业中,外资企业资产利润率最高的是( )。
A.电子计算机制造
B.电子器件制造
C.电子元件制造
D.通信设备制造
【解析】利润率=利润总额÷销售收入,因此四个分行业的利润率分别约为:
、
、
、
。观察四个分数,首先排除A选项,剩下的几个分数分子有比较明显的倍数关系,将第四个分数的分子分母同时除以2,则
,与
、
相比较明显最大,因此选择D。
【例题4】
2007年部分国家(地区)国民生产总值
2007年,下列国家(地区)中人口最少的是( )。
A.中国香港
B.哥斯达黎加
C.新加坡
D.多米尼加
【解析】分析题干可知,人口数=国民生产总值÷人均国民生产总值,即比较
,
,
,
3的大小。很容易可判定
,排除A选项;
,排除D选项。
,排除C选项。因此,答案选择B。
考点2:放缩法
特征:在精度要求不高,或数字相差较大时,可考虑用放缩法。
形式:若A>a>0且B>b>0,则:A×B>a×B>a×b;
。
两个数相乘,那么把两个数都变小,积就变小;两数都变大,积就变大。
两个数相除,把分子变大分母变小,分数值就变大;把分子变小分母变大,分数值变小。
经典例题
【例题5】某城市共有常住人口32.47万人,其中学龄前儿童共计3.95万人,请问学龄前儿童占常住人口的比例约为多少?( )
A.12%
B.14%
C.16%
D.18%
【解析】所求比例约为
。答案选择A。
【例题6】下表为某公司四个部门2009年全年的营销总费用,以及营销总费用占总销售额的比例。请问四个部门当中,哪个部门2009年全年的总销售额最高?( )
A.A部门
B.B部门
C.C部门
D.D部门
【解析】总销售额=营销总费用÷营销总费用所占比例,观察数据发现,C部门的营销总费用最高,而其所对应的比例是最低的,即分子最大,而分母最小,结果肯定是最大的。因此,答案选择C。
【例题7】2009年,某地农村居民全年人均纯收入为7285元,较上一年增长10.6%。如果增长速度不变,预计2010年该地农村居民全年人均纯收入将达到多少元?( )
A.7914
B.7976
C.8012
D.8057
【解析】根据现期量计算公式,得知2010年收入为7285×(1+10.6%)>7285×(1+10%),7285×(1+10%)=7285+728.5=8013.5(元),结合选项,D选项符合要求。因此,答案选择D。
【例题8】2008年我国的水泥消费量为13.7亿吨,增长了3.5%……
与2007年相比,2008年我国的水泥消费增加量和以下哪项最接近?( )
A.8000万吨
B.5000万吨
C.800万吨
D.500万吨
【解析】根据增长量计算公式,可得本题计算式为
×3.5%<13.7×4%=0.548亿吨=5480(万吨)。因此答案选择B。
【例题9】
2011年某市进出口总额及其增长速度
2011年国有企业的出口额占全部出口额的比重约为( )。
A.25.2%
B.32.5%
C.43.2%
D.44.8%
【解析】所占比重为
,该计算结果首位一定是4,排除 A、B两项,进而发现
. 98%,故答案选择C。
【例题10】
2011年规模以上工业企业的利润完成情况
2010年,规模以上工业企业实现利润约为( )。
A.43500亿元
B.43800亿元
C.44100亿元
D.44500亿元
【解析】
(亿元),因此,答案选择A。
思维小结
六种方法:估算法、直除法、插值法、差分法、化同法、放缩法。
使用攻略:
初步计算:估算法和直除法,其中直除法用于首位判断。
若选项的前两位相同:直除法(思考比较简单),插值法或放缩法(技巧性强),其中插值法和放缩法要求选项中存在一个“参照数据”。
分数的大小比较:一般分为四步,判断数量级→直除法首位判断→化同法→差分法。